4432 Nyíregyháza Sóstóhegy
Ingatlan sorszáma: 7844
546 850 Ft / m2
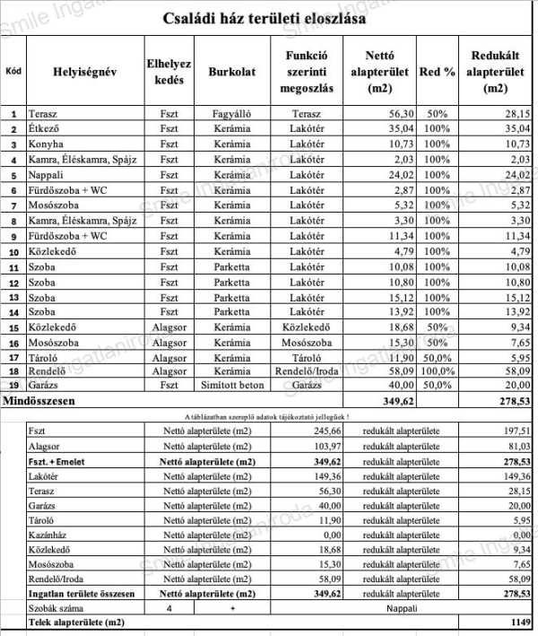
Eladó családi ház Nyíregyháza egyik legkedveltebb, nyugodt zöldövezeti részén – alagsori rendelővel, külön 32 m²-es dupla garázzsal, tágas, egybenyitott nappali–étkező–konyhával és nagy kertkapcsolattal. • Domboldali telek, az alagsor közvetlen utcai megközelítéssel • Nappali–étkező–konyha egy légtérben, déli–nyugati tájolással, egész nap napfényben • 56,30 m²-es, a kertre néző terasz (redukált 28,15 m²), a lakótér szerves folytatásaként • Összes nettó: 310,54 m² | redukált: 254,42 m²; Lakótér: 140,30 m² • Különálló, 32 m²-es, kétállású garázs; automata kapuk Ideális nagycsaládnak, kétgenerációs együttélésre és vállalkozóknak/egészségügyi szakembereknek, akik a lakhatást és az ügyfélfogadást egy helyen, mégis szeparáltan szeretnék megvalósítani. AZ INGATLAN RÉSZLETES LEÍRÁSA Elhelyezkedés, megközelítés, kertkapcsolat • Domboldali beépítés: az alagsor közvetlenül az ingatlan előtt elhaladó útról érhető el; az ügyfelek önállóan érkezhetnek. • A nappali–étkező–konyha egy légterű központi élettér, déli–nyugati tájolással, nagy üvegfelületekkel, emiatt napfényes és meleg hangulatú. • A tér kívülről az 56,30 m²-es, kertre néző terasz veszi körbe, amely a domboldal irányába nyílik, természetes folytatásaként működve a belső zónának (redukált 28,15 m²). • Garázs: különálló, kétállású, 32 m²-es épület szekcionált, távirányítós kapuval; az utcai kapu szintén távirányítós. Területek (nettó | redukált) – a helyiséglistád szerint • Földszint összesen: 196,60 | 168,45 m² • Étkező: 35,04 | 35,04 • Konyha: 10,73 | 10,73 • Kamra/Spájz: 2,03 | 2,03 • Nappali: 24,02 | 24,02 • WC: 2,87 | 2,87 • Közlekedő: 4,35 | 4,35 • Fürdő + WC: 11,34 | 11,34 • Szoba: 10,80 | 10,80 • Szoba: 10,08 | 10,08 • Szoba: 13,92 | 13,92 • Szoba: 15,12 | 15,12 • Alagsor összesen: 113,94 | 85,97 m² • Rendelő/Iroda (utcafronti, külön bejárattal): 58,00 | 58,00 • Közlekedő: 18,68 | 9,34 • Mosószoba: 15,30 | 7,65 • Fatároló: 11,90 | 5,95 • Tároló: 10,06 | 5,03 • Kiegészítések: az egyik tárolóban nyári konyha; szauna és zuhanyzó leválasztva, befejezése az új tulajdonosra vár. Kültéri élettér • Terasz: 56,30 | 28,15 m² Összesítés • Fszt + Alagsor: 310,54 | 254,42 m² • Lakótér: 140,30 | 140,30 m² • Rendelő/Iroda: 58,00 | 58,00 m² • Tárolók együtt: 21,96 | 10,98 m² • Közlekedő együtt: 18,68 | 9,34 m² • Telek: 1149 m² Műszaki és komfort • Tégla szerkezet; Hőszigetelés kívülről 10 cm, (a keleti oldalon található szobák belülről) • Külső nyílászárók: műanyag; belső: fa. • Fűtés: cirkó gázkazán radiátorfűtéssel; nappaliban cserépkályha. • A lakórész elérhető a rendelőből belső átjárón, illetve a ház bal oldali külső lépcsőjén. Használati előnyök • A nappali–étkező–konyha egybenyitott tere - 69,79 m2 - a déli–nyugati tájolásnak köszönhetően egész nap világos; a terasz és a kert természetes kiterjesztése a mindennapi életnek és vendégfogadásnak. • A szeparált, utcafronti rendelő/iroda professzionális ügyfélfogadást tesz lehetővé a lakótér zavarása nélkül. • Ideális nagycsaládnak, kétgenerációs elrendezéshez és vállalkozóknak/egészségügyi szolgáltatóknak. Összegzés Kivételes, napfényes, egybenyitott élettér déli–nyugati tájolással, kertre néző terasszal – mindez külön, utcáról megközelíthető rendelővel és 32 m²-es dupla garázzsal! Kérj részletes, helyiségenkénti nettó és redukált területkimutatást, és egyeztess személyes megtekintést.
Lépjen velünk kapcsolatba!
Reichert Róbert
Smile Ingatlaniroda
A partner további hirdetései
Kapcsolatfelvételhez kattintson
A tétel adatlapján feltüntetett leírások a rendelkezésre álló információink alapján készültek. Az eszközök működőképességét, rejtett hibáit nem vizsgáltuk, azokról nincs tudomásunk. Kérjük, hogy licitálás előtt személyesen is tekintsék meg a megvásárolni kívánt tételeket, mert utólag nem tudunk reklamációt elfogadni. A szállítási és bontási költségek a vásárlót terhelik. A szállítást akkor lehet megkezdeni, ha az eladó az erre vonatkozó engedélyt megadta. A leütési ár nem tartalmazza az ÁFÁ-t és a vásárlói felárat.