4400 Nyíregyháza Örökösföld
Ingatlan sorszáma: 7808
762 288 Ft / m2
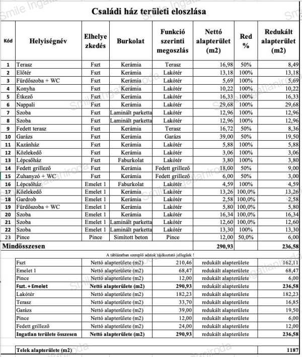
Ismerősök gyakran kérdezik tőlem , hogy tudok-e ajánlani nekik egy "jó vételt". De mi a jó vétel ? A tapasztalatom azt mutatja, hogy nagyon sok összetevőn múlik mire az eladó és a vevő egymásra találnak. Hiába van viszonylag olcsón árazva egy ingatlan ha az a vevőnek nem tetszik illetve a viszonylagosan magasra árazott lakás, ház vagy egyéb felépítmény is gazdára talál mert ott van az emóció ezért arra a kérdésre, hogy van-e jó vétel csak közhellyel lehetne válaszolni. Eladásra kínálom Nyíregyháza egyik legfrekventáltabb családi házas övezetében található mediterrán stílusban épült két szintes családi házat amely a megtekintés után biztos érzelmeket fog kiváltani az érdeklődőből. Ingatlan jellemzői Alapterület és Telek: - Az ingatlan alapterülete: 238 m² - Telek területe: 1187 m² - Parkolás: Dupla garázs, 39 m² Szerkezetek és Komfort: - Falazat: 30 cm vastag Phoroterm tégla, 8 cm szigeteléssel - Külső nyílászárók: Műanyag szerkezet - Belső nyílászárók: Egyedi gyártású fa beltéri ajtók - Komfort: Duplakomfortos - Tájolás: KNY (kelet-nyugati) - Burkolatok: Kerámia és laminált - Fűtés: Kondenzációs gázkazán padló- és radiátoros hőleadással, szobánként szabályozható termosztátokkal (6 db), vízteres kandalló - Hűtés: Inverteres hűtés/fűtés 3 db klímaberendezéssel - Központi porszívó és víztisztító berendezés - Napkollektor 300 literes tárolóval - Kamera és riasztó rendszer Helyiségek: - Szobák száma: 5 - Nappali: + Nappali - Konyha és étkező: Konyha + étkező - Fürdőszobák száma: 2 (káddal, zuhannyal, WC-vel) - WC: 2 Egyéb helyiségek: Terasz (34 m²), előtér, garázs, kazánház, közlekedők, lépcsőházak, gardrób, borospince Kert és Külső Terület: - Parkosított kert fúrt kúttal - Fedett nyárikonyha kemencével, díszburkolattal - Részben alápincézve (borospince) Egyéb Információk: - Mediterrán stílusú - Azonnal költözhető Igény esetén teljes berendezéssel, bútorokkal együtt is eladó, külön megállapodás alapján Ez a ház tökéletes választás mindazok számára, akik egy csendes, nyugodt környezetben szeretnének élni, mégis közel a város nyújtotta lehetőségekhez. Ne hagyja ki ezt a páratlan lehetőséget, lépjen velünk kapcsolatba még ma!
Lépjen velünk kapcsolatba!
Reichert Róbert
Smile Ingatlaniroda
A partner további hirdetései
Kapcsolatfelvételhez kattintson
A tétel adatlapján feltüntetett leírások a rendelkezésre álló információink alapján készültek. Az eszközök működőképességét, rejtett hibáit nem vizsgáltuk, azokról nincs tudomásunk. Kérjük, hogy licitálás előtt személyesen is tekintsék meg a megvásárolni kívánt tételeket, mert utólag nem tudunk reklamációt elfogadni. A szállítási és bontási költségek a vásárlót terhelik. A szállítást akkor lehet megkezdeni, ha az eladó az erre vonatkozó engedélyt megadta. A leütési ár nem tartalmazza az ÁFÁ-t és a vásárlói felárat.